【科普】魂盘上出现指定四魂的概率
精华修改于2019/06/232960 浏览攻略专区
数学公式警告(可直接拉到最后看结果)
刚刚计算出了大问题,感谢@HIBIKI 的指正
重算结果是6.65%
魂盘的结构是2行7列,一共14个魂芯,要直接计算在魂盘上出现四魂的概率太复杂了,因此可以做以下简化:
由于四魂必须是出现至少两列同一颜色。我们以白色魂芯为例。1列有两个魂芯,每个都有1/3的可能是白色,那么这一列的两个都是白色的概率为1/9。把一列中两个魂芯都是白色的列称为【全白列】。

所以这个问题就简化为【在7列中出现至少两个全白列在一起的概率是多少?】
这个问题等价于
【1 – 没有任何两个全白列并列一起的概率】。因为这个概率好算多了。
1. 首先我们考虑魂盘不存在全白列的情况,这时也绝对不会有白四魂存在,这种情况的概率为:

2. 魂盘上仅有一个全白列,这时也不会有白四魂存在,该情况概率为

这里C71是全组合,手机上不方便编辑公式。。
3. 魂盘上仅有两个全白列,魂盘上两个全白列的位置是全排列,而这两列在一起的情况只有6种,因此全组合C72减去6就是没有白四的情况,该情况下概率为:

修正一下这里还要乘上C72
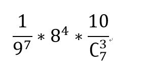
4. 魂盘上仅有3个全白列,这三个全白列在魂盘上仅有10种排列方式不会两两并列,因此3个全白列时魂盘没有白四魂的概率为:

再乘上排列数35
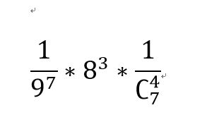
5. 魂盘上仅有4个全白列,这时要想让它们都不会并列只有一种排列情况(分别在魂盘的第1、3、5、7列),该情况的概率为:

再乘上排列数35
全白列数量超过4后不管怎么分布都会有白四魂的存在,因此魂盘上没有白四魂的概率就是以上概率的总和:

所以魂盘上存在任意一个白四魂的概率为:

大约是6.65%
注:我是数学白痴,所以只能用这种比较笨的方法计算概率,希望有数学大神给出更好的计算方法或指正错误。


