你有多大概率得到你想要的那张化神牌?【科学弈仙、第一期】
精华修改于2024/03/013125 浏览综合
修改:修正表达式和前提中的删牌情况,数据同步修改。


请问大家有没有玩过符云灵猫思路?很多道友对于符猫的印象都是:化神找不到万法归灵剑直接速八。虽然这种说法有失偏颇,但至少对于符猫而言,一直拿不到万法归灵剑,那么这局游戏至少是非常难以获得前四了。那么在本人准备从画猫转战符猫前夕,不禁对这个问题产生了兴趣:符猫到底有多大概率拿到万法?考虑到这个问题直接决定了符猫的强度,而且好像这方面的攻略还没有人做过,我就花了大约两小时简单推演了一下,在不考虑道韵预感/命坊/仙命(云巅雷劫、好奇心、变换之道、等等)的影响下,我们可爱的符猫猫到底有多大概率能获得她的万法归灵剑?最有可能是在几回合?
直接上结论:

随轮次的获得至少一张目标门派化神牌的概率

具体数据
下面是过程:


弈仙牌换牌发牌机制简介:
每轮加2修为,2生命上限,抽2张门派牌,1张副职业牌。
1~9轮换牌机会+3,10~14轮换牌机会+4,15~19轮换牌机会+5,20轮及之后换牌机会+6


前提:前八轮d,完全科学d牌(d一张一定删两张),元婴不d => 剩余3+4+4+4 = 15d
总牌数(以符猫为例):(44 x 8 + 8 x 6)(门派牌)+ (12 x 8 + 3 x 6)(副职牌)= 514
删去的牌总数:10 x 3 + 5(得到的牌)+ 3 x 8 x 3(d牌删掉的牌总数)= 35 + 72 = 107
剩余牌数:514 - 107 = 407(实际计算按照409算的,实在改不动了,数据应该大差不差,各位道友多担待orz)
目标牌数:6
12轮获得牌的次数(包含发牌和d牌):15 + 2 = 17


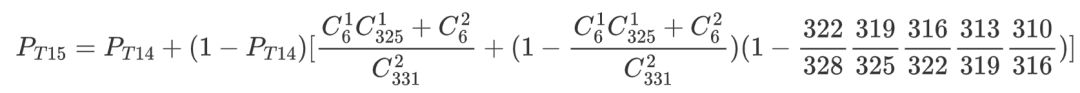
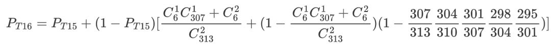
第十二轮获得三张非化神牌,于是能获得目标牌的方式只有十五次D牌:

每次D牌都减少三张牌
第十三轮可能获得化神牌,其中两张为门派牌,于是首先考虑利用超几何分布描述起手发牌,再考虑三次D牌:

先抽牌,再D四次牌
第十四、十五、十六轮同理:

同十三轮

现在可以D五次了

同十五轮
这么看来,好像符猫十五轮(及以前)拿到万法归灵剑的概率已经接近50%,在仙命等等的加持下一定会超过50%,完全可以玩了!
这个数据有什么参考价值呢?首先可以帮助不来混元的南宫玩家/不来天元、五雷的七星阁玩家更有理有据的喷官方背后暗改数据:两把十五轮没来牌,期望已经达到1了为什么不来,肯定是官方针对我!
开个玩笑,我做这个计算最大的愿望就是能让大家看到,不来牌真的不是一件小概率事件。即使真的连续几局不来,也是概率上合理的(可以简单看看正态分布的介绍)。实际上,我认为在任何牌类游戏中,最重要的技术都是如何发挥出一手烂牌最大的价值,毕竟来好牌大家都能上分,但没来牌的时候做到少扣分才是提高上分效率的关键。希望大家在不来牌的时候能少点戾气,多想想有什么办法能在某一轮改变战局,或者只是少扣减一点命元,或者能否改变运营思路。
概率对所有人都是公平的,但我们可以通过合理的操作让概率站在我们这一边。祝大家享受游戏、牌力日进~

