【萌新进】游戏的发育时间计算
2019/11/172333 浏览综合
首先感谢@青衣人 大佬的计算器和计算公式。
![[嗒啦啦2_牛逼]](https://img-tc.tapimg.com/market/images/db7cf8ec4c9f8ebacde83ec02c643b50.gif)
----------------------------------------------------------
1.每级所需潜能

为了直观一点俺画了个图,嗯,采用了一般rpg游戏喜欢的三次方经验曲线。

不过在309级的地方有明显断层,放大看看,309-310,这一级升的太突兀了,不过影响不大,毕竟只有这么一级比较难。

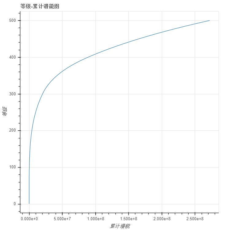
2.潜能累计图
光看每级需要的潜能可能不够直观,来看看累计潜能图和等级的关系。

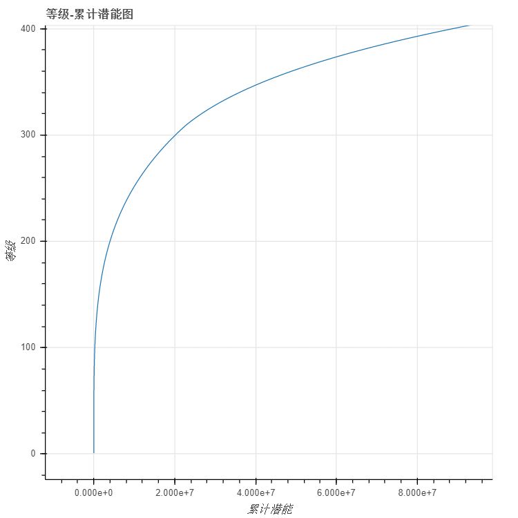
对不起,显然游戏设计就不是让我们(绝大多数平民)玩到500级,还是放大到400级看看。

300级以前,等级随着累计潜能提升最快,从图中可以看见300-400级需要的潜能够你升3个多300级了。
具体多少个呢:
300级需要潜能:20184199
300-400级需要潜能:68614402
后者大概是前者的:3.4倍
这个结论支持了很多玩家单炉火之后轮回效率最高的说法。往后面升级不仅升级需要的潜能暴增(每天收益难以追赶),而且获得真元的效率也低了。本文所说的效率低全部针对平民,氪金大佬随意,基本所有游戏钞能力无敌(不无敌那就是还不够)。所以炉火前轮回,不考虑孩子属性和一些其他因素,是能在发育上取得一点优势(如果冲新区可以尽早轮回,当然你要是第一批才行)。
3.每升一级的时间
单看每一级需要的潜能属实不客观,毕竟时间才是金钱,来看看每升一级需要的时间。要考察这个点,还需要知道每天收益。每天收益的点在:打龙、打桩、告示牌、村长委托、跑环、福地扫荡、日常活动、副本扫荡、每日暗号、月卡飞鸽传书。这个点其实还蛮复杂的,一是每个人的情况都不一样,有肝帝每天连100环都不放过,有些人连委托都懒得刷满5星;二是(主要原因)俺没找到具体计算数据(有知道欢迎补充)。
这里计算只能做个大概估算(月卡情况):
1-100级每天收益平均 :5w
平均升级天数: 0.05 天 ,共 5 天
100-200级平均每天收益:15w
平均升级天数: 0.25 天, 共 24 天
200-300级平均每天收益:30w
平均升级天数: 0.8 天, 共 80 天
300-400级平均每天收益:45w
平均升级天数: 1.5 天, 共 152天
还是那句话,早轮早享受,400轮回,要比300轮回多上72天时间,等你轮回他早就吃完经验,发育也早就赶上来了,你多的真元能不能弥补这个发育差距还要自己衡量。(主要是躺床过于难受 = =。游戏体验都躺没了)
这个游戏玩到炉火算入门 5+24+80=109,也就是三个月,肝一点二个月,巨氪佬一天炉火。这里算的一门,实际上其他两门至少还要练到100多级才能保证日常不难过,所以这个时间应该还算客观,上手比较慢的同学可能还要更多天。很多玩家都熬不过三个月(确信),所以你玩了两个月还能比较有兴趣那就开始氪也不迟(针对平民建议,巨佬随便氪,尽量氪),算是给萌新的一点建议。
(所有游戏都有自己的门槛,如果你玩的不开心,也许你就不是这个游戏的受众,不用太纠结,换个游戏或者慢慢探索。说到底玩个游戏也不需要天天算计 QAQ)


