最麻烦最繁琐的一星解法合集.(长期更新)
修改于2018/02/101175 浏览综合
主要思路就是利用线段相乘相比开根号的手段,表示通过解析法算出的参量.
先从12.2开始.主要是这个工作量小.

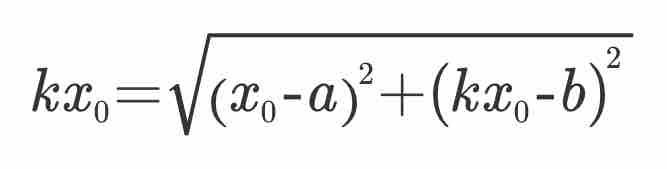
起手建系...

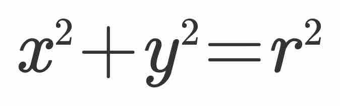
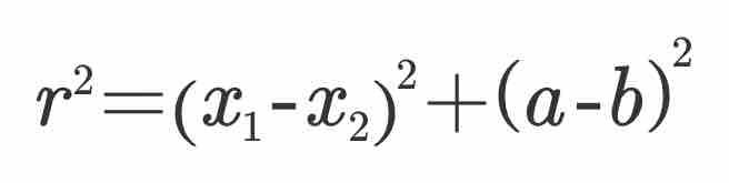
即描述两线与圆的交点.相对的一组间距离等于圆半径.a.b为两线与y轴交点的绝对值




最后得

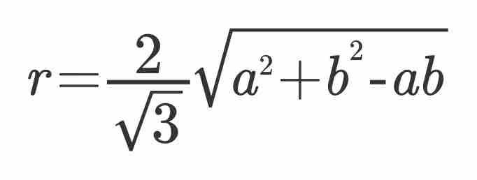
先构造根号里的线段.为以a.b为两边切ab夹角等于120度的三角形的第三边(余弦定理)
考虑外面的系数为30度的余割..
最后

左边的图为上述过程的草稿图...
12.4

处理的时候需要把图转一下.把有垂直的边放在下面放便作图
如图建系








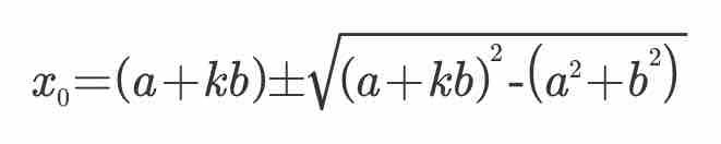
看出有两个可用解.
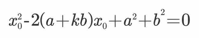
先表示a+kb.
kb为横坐标之差为b.于y=kx上线段的纵坐标之差.
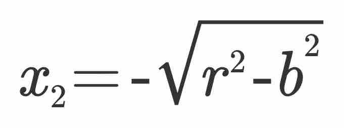
根号里的式子的含义是直角三角形中的三边关系.某个非直角边.
最后

按理说该有两解..但是这个图上放不下了..
10.4 10.8 10.9

这三个问题实际上是一个问题.
正五边形内角108度.角平分之后54度
54度与60度的差值为6度.再平分之后为3度
想要通过解析法作出54度或其他相关角度需要知道对应的三角函数值
通过正五边形

易知
ABCE四点共圆
根据托勒密定理四点共圆
两对边的乘积之和等于对角线的乘积
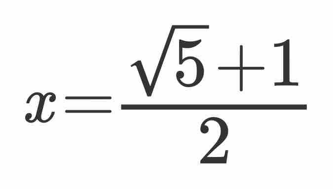
设边长为1对角线长为x

得

现在需要构造

的线段. 考虑两直角边比例为1:2的直角三角形

AD为所求边
最后


反演做法..小题大作..
直接利用的性质(这个的描述方式比较多)
在同一条过圆心轴L上两点AB到圆心的距离之积为为半径的平方.则过圆内一点B线与圆形成两点CD.所形成的两点与圆外A形成的角CAD被轴L平分.当然如果有过圆外定点的两线关于圆的一条对称轴对称.那么也可以找到3点共线.就可以找到圆内的反演点.作出该点的垂线就可以找到切点.
更新最感觉最麻烦的一节





